日前,js33333金沙线路检测泛在无线通信与物联网团队颉满刚博士、贾向东教授、王倩倩博士与中山大学计算机公司编码与信息论实验室龚杰副教授、马啸教授合作完成的论文“Age and Energy Analysis for Lth Best Relay Enabled Cooperative Status Update Systems with Short Packet Communications”被无线通信和系统、车载技术领域权威期刊《IEEE Transactions on Vehicular Technology》录用,并已在线发表(https://doi.org/10.1109/TVT.2022.3233406)。该期刊属中科院2区Top期刊,最新影响因子为6.239。青年教师颉满刚博士为第一作者,js33333金沙线路检测为第一完成单位,本文得到了国家自然科学基金62261048的支持。

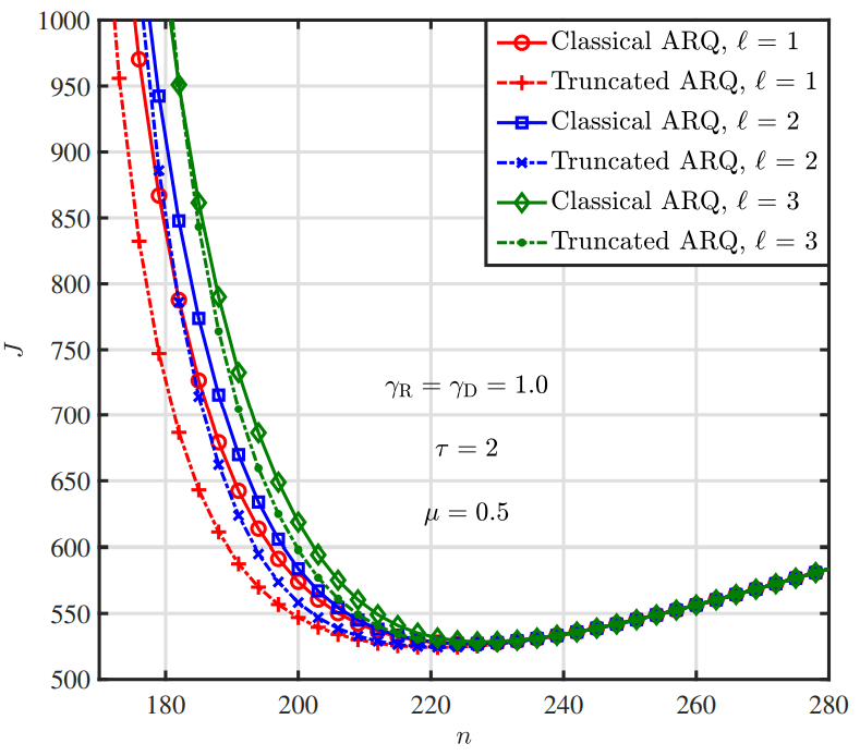
在物联网监测系统中,信息的实时传输和能量的高效利用是两个重要的关注点。然而,它们通常不能同时实现。论文面向双跳中继协作状态更新系统,研究了第l阶最佳中继选择策略和自动请求重传协议下系统信息年龄和能耗的内在折中关系。在部署的众多中继中,选择第l阶最佳中继来转发信源处的信息到信宿。当传输失败时,信源既可以重传失败的数据包以节省感知能耗,也可以感知和发送新的数据包以提高信息新鲜度。为此,论文考虑了经典自动请求重传和截断自动请求重传两种协议。通过考虑短包传输,推导了平均信息年龄和平均能耗的数学表达式,并最小化二者的加权和来寻求最优编码长度实现系统性能折中。

研究结果表明,总可以找到一个最优的编码长度来实现系统信息年龄和能耗的性能折中。此外,最佳中继并不总是能最优化加权和,截断自动请求重传优于经典自动请求重传。本文考虑的第l阶最佳中继选择方案,一方面可以解决系统能量不足的问题,另一方面可以应对最佳中继不可用情况。研究结果对于中继协作实时状态更新系统的优化设计具有一定的参考意义。
版权所有 © js33333金沙线路检测(CHINA)有限公司-Baidu百科NO.1 管理登录 甘公网安备62010502000939号 陇ICP备17000462号-1